Praca z DAG-ami w przebiegach Transpilera
W Qiskit, w ramach etapów transpilacji, obwody są reprezentowane za pomocą DAG. Ogólnie rzecz biorąc, DAG składa się z wierzchołków (zwanych również „węzłami") oraz skierowanych krawędzi łączących pary wierzchołków w określonym kierunku. Reprezentacja ta jest przechowywana za pomocą obiektów qiskit.dagcircuit.DAGCircuit, które składają się z pojedynczych obiektów DagNode. Przewaga tej reprezentacji nad czystą listą bramek (czyli netlistą) polega na tym, że przepływ informacji między operacjami jest jawny, co ułatwia podejmowanie decyzji o transformacjach.
Ten przewodnik pokazuje, jak pracować z DAG-ami i używać ich do pisania własnych przebiegów Transpilera. Zaczniemy od zbudowania prostego Circuit i zbadania jego reprezentacji w postaci DAG, a następnie omówimy podstawowe operacje na DAG-ach i zaimplementujemy własny przebieg BasicMapper.
Budowanie Circuit i badanie jego DAG
Poniższy fragment kodu ilustruje DAG, tworząc prosty Circuit przygotowujący stan Bella i stosujący rotację w zależności od wyniku pomiaru.
Wersje pakietów
Kod na tej stronie został opracowany przy użyciu poniższych wymagań. Zalecamy korzystanie z tych lub nowszych wersji.
qiskit[all]~=2.3.0
# Added by doQumentation — required packages for this notebook
!pip install -q qiskit
from qiskit import QuantumRegister, ClassicalRegister, QuantumCircuit
from qiskit.converters import circuit_to_dag
from qiskit.visualization import circuit_drawer
from qiskit.visualization.dag_visualization import dag_drawer
# Create circuit
q = QuantumRegister(3, "q")
c = ClassicalRegister(3, "c")
circ = QuantumCircuit(q, c)
circ.h(q[0])
circ.cx(q[0], q[1])
circ.measure(q[0], c[0])
# Qiskit 2.0 uses if_test instead of c_if
with circ.if_test((c, 2)):
circ.rz(0.5, q[1])
circuit_drawer(circ, output="mpl")
W DAG-u wyróżniamy trzy rodzaje węzłów grafu: węzły wejściowe Qubit/clbit (zielone), węzły operacji (niebieskie) oraz węzły wyjściowe (czerwone). Każda krawędź wskazuje przepływ danych (lub zależność) między dwoma węzłami. Użyj funkcji qiskit.tools.visualization.dag_drawer() do wizualizacji DAG tego Circuit. (Zainstaluj bibliotekę Graphviz, aby ją uruchomić.)
# Convert to DAG
dag = circuit_to_dag(circ)
dag_drawer(dag)

Podstawowe operacje na DAG
Poniższe przykłady kodu demonstrują typowe operacje na DAG-ach, w tym dostęp do węzłów, dodawanie operacji oraz zastępowanie podobwodów. Operacje te stanowią podstawę do budowania przebiegów Transpilera.
Pobieranie wszystkich węzłów operacji w DAG
Metoda op_nodes() zwraca iterowalną listę obiektów DAGOpNode w Circuit:
dag.op_nodes()
[DAGOpNode(op=Instruction(name='h', num_qubits=1, num_clbits=0, params=[]), qargs=(<Qubit register=(3, "q"), index=0>,), cargs=()),
DAGOpNode(op=Instruction(name='cx', num_qubits=2, num_clbits=0, params=[]), qargs=(<Qubit register=(3, "q"), index=0>, <Qubit register=(3, "q"), index=1>), cargs=()),
DAGOpNode(op=Instruction(name='measure', num_qubits=1, num_clbits=1, params=[]), qargs=(<Qubit register=(3, "q"), index=0>,), cargs=(<Clbit register=(3, "c"), index=0>,)),
DAGOpNode(op=Instruction(name='if_else', num_qubits=1, num_clbits=3, params=[<qiskit.circuit.quantumcircuit.QuantumCircuit object at 0x7f912f47db10>, None]), qargs=(<Qubit register=(3, "q"), index=1>,), cargs=(<Clbit register=(3, "c"), index=0>, <Clbit register=(3, "c"), index=1>, <Clbit register=(3, "c"), index=2>))]
Każdy węzeł jest instancją klasy DAGOpNode:
node = dag.op_nodes()[3]
print("node name:", node.name)
print("op:", node.op)
print("qargs:", node.qargs)
print("cargs:", node.cargs)
print("condition:", node.op.condition)
node name: if_else
op: Instruction(name='if_else', num_qubits=1, num_clbits=3, params=[<qiskit.circuit.quantumcircuit.QuantumCircuit object at 0x7f912f4ceed0>, None])
qargs: (<Qubit register=(3, "q"), index=1>,)
cargs: (<Clbit register=(3, "c"), index=0>, <Clbit register=(3, "c"), index=1>, <Clbit register=(3, "c"), index=2>)
condition: (ClassicalRegister(3, 'c'), 2)
Dodawanie operacji na końcu
Operację dodaje się na końcu DAGCircuit za pomocą metody apply_operation_back(). Powoduje to dołączenie wskazanej bramki działającej na podanych Qubitach po wszystkich istniejących operacjach w Circuit.
from qiskit.circuit.library import HGate
dag.apply_operation_back(HGate(), qargs=[q[0]])
dag_drawer(dag)

Dodawanie operacji na początku
Operację dodaje się na początku DAGCircuit za pomocą metody apply_operation_front(). Powoduje to wstawienie wskazanej bramki przed wszystkimi istniejącymi operacjami w Circuit, co sprawia, że staje się ona pierwszą wykonywaną operacją.
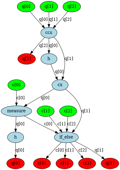
from qiskit.circuit.library import CCXGate
dag.apply_operation_front(CCXGate(), qargs=[q[0], q[1], q[2]])
dag_drawer(dag)

Zastępowanie węzła podobwodem
Węzeł reprezentujący konkretną operację w DAGCircuit jest zastępowany podobwodem. Najpierw tworzony jest nowy pod-DAG z żądaną sekwencją bramek, a następnie docelowy węzeł jest zastępowany tym pod-DAG-iem za pomocą substitute_node_with_dag(), z zachowaniem połączeń z resztą Circuit.
from qiskit.dagcircuit import DAGCircuit
from qiskit.circuit.library import CHGate, U2Gate, CXGate
# Build sub-DAG
mini_dag = DAGCircuit()
p = QuantumRegister(2, "p")
mini_dag.add_qreg(p)
mini_dag.apply_operation_back(CHGate(), qargs=[p[1], p[0]])
mini_dag.apply_operation_back(U2Gate(0.1, 0.2), qargs=[p[1]])
# Replace CX with mini_dag
cx_node = dag.op_nodes(op=CXGate).pop()
dag.substitute_node_with_dag(cx_node, mini_dag, wires=[p[0], p[1]])
dag_drawer(dag)

Po zakończeniu wszystkich transformacji DAG może zostać przekonwertowany z powrotem na zwykły obiekt QuantumCircuit. W ten właśnie sposób działa potok Transpilera: Circuit jest pobierany, przetwarzany w postaci DAG, a na wyjściu produkowany jest przekształcony Circuit.
from qiskit.converters import dag_to_circuit
new_circ = dag_to_circuit(dag)
circuit_drawer(new_circ, output="mpl")
Implementacja przebiegu BasicMapper
Struktura DAG może być wykorzystana do pisania przebiegów Transpilera. W poniższym przykładzie zaimplementowano przebieg BasicMapper, który mapuje dowolny Circuit na urządzenie z ograniczoną łącznością Qubitów. Dodatkowe wskazówki znajdziesz w przewodniku dotyczącym pisania własnych przebiegów Transpilera.
Przebieg jest zdefiniowany jako TransformationPass, co oznacza, że modyfikuje Circuit. Robi to, przechodząc przez DAG warstwa po warstwie, sprawdzając, czy każda instrukcja spełnia ograniczenia narzucone przez mapę sprzężeń urządzenia. Jeśli wykryte zostanie naruszenie, wyznaczana jest ścieżka zamiany i wstawiane są niezbędne bramki SWAP.
Tworząc przebieg Transpilera, pierwszą decyzją jest wybór, czy przebieg powinien dziedziczyć po TransformationPass, czy po AnalysisPass. Przebiegi transformacji są przeznaczone do modyfikowania Circuit, natomiast przebiegi analizy służą wyłącznie do wydobywania informacji na potrzeby kolejnych przebiegów. Główna funkcjonalność jest następnie implementowana w metodzie run(dag). Na koniec przebieg powinien być zarejestrowany w module qiskit.transpiler.passes.
W tym konkretnym przebiegu DAG jest przechodzony warstwa po warstwie (gdzie każda warstwa zawiera operacje działające na rozłącznych zbiorach Qubitów, które mogą być wykonywane niezależnie). Dla każdej operacji, jeśli ograniczenia mapy sprzężeń nie są spełnione, wyznaczana jest odpowiednia ścieżka zamiany, a wymagane operacje SWAP są wstawiane, aby doprowadzić zaangażowane Qubity do sąsiedztwa.
from qiskit.transpiler.basepasses import TransformationPass
from qiskit.transpiler import Layout
from qiskit.circuit.library import SwapGate
class BasicSwap(TransformationPass):
def __init__(self, coupling_map, initial_layout=None):
super().__init__()
self.coupling_map = coupling_map
self.initial_layout = initial_layout
def run(self, dag):
new_dag = DAGCircuit()
for qreg in dag.qregs.values():
new_dag.add_qreg(qreg)
for creg in dag.cregs.values():
new_dag.add_creg(creg)
if self.initial_layout is None:
self.initial_layout = Layout.generate_trivial_layout(
*dag.qregs.values()
)
current_layout = self.initial_layout.copy()
for layer in dag.serial_layers():
subdag = layer["graph"]
for gate in subdag.two_qubit_ops():
q0, q1 = gate.qargs
p0 = current_layout[q0]
p1 = current_layout[q1]
if self.coupling_map.distance(p0, p1) != 1:
path = self.coupling_map.shortest_undirected_path(p0, p1)
for i in range(len(path) - 2):
wire1, wire2 = path[i], path[i + 1]
qubit1 = current_layout[wire1]
qubit2 = current_layout[wire2]
new_dag.apply_operation_back(
SwapGate(), qargs=[qubit1, qubit2]
)
current_layout.swap(wire1, wire2)
new_dag.compose(
subdag, qubits=current_layout.reorder_bits(new_dag.qubits)
)
return new_dag
Przebieg można teraz przetestować na małym przykładowym Circuit. Tworzony jest menedżer przebiegów z nowo zdefiniowanym przebiegiem. Przykładowy Circuit jest następnie przekazywany do tego menedżera, a na wyjściu otrzymywany jest nowy, przekształcony Circuit.
from qiskit.transpiler import CouplingMap, PassManager
from qiskit import QuantumRegister, QuantumCircuit
q = QuantumRegister(7, "q")
in_circ = QuantumCircuit(q)
in_circ.h(q[0])
in_circ.cx(q[0], q[4])
in_circ.cx(q[2], q[3])
in_circ.cx(q[6], q[1])
in_circ.cx(q[5], q[0])
in_circ.rz(0.1, q[2])
in_circ.cx(q[5], q[0])
coupling = [[0, 1], [1, 2], [2, 3], [3, 4], [4, 5], [5, 6]]
coupling_map = CouplingMap(couplinglist=coupling)
pm = PassManager()
pm.append(BasicSwap(coupling_map))
out_circ = pm.run(in_circ)
in_circ.draw(output="mpl")
out_circ.draw(output="mpl")
Następne kroki
- Zapoznaj się z przewodnikiem dotyczącym tworzenia własnego przebiegu Transpilera
- Dowiedz się, jak tworzyć i transpilować dla własnych Backendów
- Wypróbuj przewodnik Porównywanie ustawień Transpilera.
- Przejrzyj dokumentację API DAG Circuit.